Free negative number worksheets with answer key. No login or account needed. From identifying number's absolute value, to adding and subtracting negative numbers, we've got you covered. A grading column and quick grade scale maker grading a breeze and a modified pages help with lower level learners or when just introducing a topic. Great for teachers or for homeschool.
Browse Sheets By Problem Type
×
6ns7a

×
Description:
"This worksheet is designed to help children understand and practice comparing negative numbers. Offering 20 math problems, students will gain competence in recognizing which negative numbers are larger or smaller. The worksheet is versatile; it can be customized to meet individual learning needs, converted into flash cards for interactive learning, or utilized for distance learning to ensure consistent math proficiency development."

×
Student Goals:
Understanding Negative NumbersAfter completing the Comparing Negative Numbers worksheet, students should have a solid understanding of how negative numbers function in mathematics. They should be able to accurately identify and interpret negative numbers, differentiating them from positive numbers. Further, they should recognize negative numbers in various contexts, whether standalone or within mathematical equations, and be able to determine their place value.Comparing and Ordering Negative NumbersOne key objective of this worksheet is to equip students with the ability to compare and order negative numbers. They should be able to determine whether a negative number is greater or less than another negative number and to accurately arrange a sequence of negative numbers in ascending or descending order. Such skills are fundamental in various mathematical operations and real-world applications.Applying Negative Numbers to Real-World ScenariosStudents should be able to apply the concept of negative numbers to real-world situations. This includes understanding contexts where negative numbers are used, such as temperatures below zero, owing money, or any scenario that involves loss or going below a certain level. This strengthens their comprehension and makes math learning more relatable and practical.Problem-Solving SkillsBy working through the problems provided in the worksheet, students should develop enhanced problem-solving skills. They should be able to apply logical thinking, strategize possible solutions, and select the most effective approach to solve a problem. Moreover, students should demonstrate perseverance and resilience in tackling challenging problems.Enhancing Numeracy SkillsUpon completion of the worksheet, students should demonstrate improved numeracy skills. This includes, but is not limited to, mental math, number sense, and arithmetic fluency. These skills are crucial to their overall mathematics proficiency and serve as bedrock for more complex mathematical concepts in future learning.
6ns7a

×
Description:
"This worksheet is designed to help children understand the concept of negative numbers and their placements on the number line. Featuring 10 customizable problems, students practice identifying where negative numbers fall amongst other values. Perfect for distance learning, this worksheet can also be easily converted into flash cards, boosting engagement and knowledge retention. A versatile tool essential for expanding mathematical skillset."

×
Student Goals:
Understanding Negative NumbersAfter completing the worksheet, students should have a clear understanding of negative numbers. They should be able to identify and place them accurately on a number line. This basic understanding of negative numbers is essential in higher mathematical calculations that involve the use of both positive and negative numbers.Development of Practical Math SkillsCompletion of the worksheet ensures that students develop practical skills to solve math problems involving negative numbers easily. They should be able to determine the location of a negative number amidst other numbers on a number line, enhancing their practical mathematical skills and fluency in solving math problems.Enhancement of Cognitive SkillsCompleting this worksheet also improves students' cognitive skills. Determining the location of negative numbers on a number line requires a certain level of thinking and reasoning, which is a good exercise for cognitive development. It encourages students to apply their concentration skills, thus improving their overall cognitive function.Preparation for Advanced Math TopicsUnderstanding of negative numbers and their placement on the number line prepares students for tackling advanced mathematical topics. Concepts like algebra and coordinates, which involve negative numbers, become easier to grasp. Students' progression in mathematics becomes smoother and more seamless.Understanding the Concept of Position and OrderBy accurately determining the positions of negative numbers on the number line, students comprehend the concept of order and position. They learn that numbers have an implicit order, whether positive or negative, and each number occupies a specific position in relation to others on the number line.Improvement in Problem-Solving SkillsSolving problems in this worksheet enhances students' problem-solving skills. They need to understand the problem and apply the right strategy to locate the negative number on the number line. This nurtures their ability to think critically and logically, thereby improving their problem-solving capacity.Confidence in Handling Math ProblemsSuccessfully completing this worksheet can help build confidence in students' mathematical abilities. Through accurately locating negative numbers on a number line, students gain affirmation in their ability to solve math problems. This boosts their confidence, making them more prepared for future complexities in math.
6ns6a

×
Description:
"This worksheet is designed to help children understand and compare negative numbers in a simple, engaging format. This educational tool, with 20 math problems, aids students to identify which numbers are less or more, even when negative. Ideal for distance learning, it's customizable to meet individual learning needs. The questions can also be converted into flashcards for additional practice. It's a versatile tool to strengthen number comprehension, making math more accessible and enjoyable."

×
Student Goals:
Enhance Mathematical SkillsetThrough completing this educational worksheet, children should wield amplified problem-solving abilities. Recognizing and comparing values of negative numbers will allow them to expand their comprehension of mathematics, strengthening their overall skill sets in this area. This exercise holistically nurtures fundamental skills that will be beneficial in higher-level mathematical topics and real-life situations.Comprehension of Negative NumbersA thorough comprehension of the concept of negative numbers is a significant accomplishment students will achieve. By determining which negative numbers are less or more, students gain a solid grasp on the numerical line, including its less intuitive negative portion. Once students can easily handle negative numbers, they are ready to progress to more complicated mathematical concepts.Foundation Building for Advanced Mathematical ConceptsUpon completion of the worksheet, students will have built a solid foundation for more complex mathematical concepts. Given the role of negative numbers in advanced mathematics subjects like algebra and calculus, understanding how to evaluate negative numbers is vital. This practice worksheet provides the means for students to confidently and accurately work with those numerals, furthering their mathematical prowess.Develop Critical Thinking and Logical ReasoningSuccessful completion of this worksheet ensures that students are developing critical thinking and logical reasoning skills. This is because they are required to analyze and solve the mathematical problems presented in the worksheet. Engaging, comparing and understanding negative numbers enables children to strengthen their critical thinking, equipping them for more complex theoretical problem-solving in the future.Improve Academic PerformanceAfter finishing this worksheet, students should be able to improve their academic performance in mathematics and other subjects that rely on numbers. Understanding the principles of comparing negative numbers can help students perform better in examinations and class assignments, leading to an overall improvement in grades and increased confidence in their academic abilities.Boost Confidence in MathBy overcoming the often challenging concept of negative numbers, students will experience a noticeable boost in their confidence regarding math. As they correctly compare negative values, they will feel more comfortable and motivated to tackle increasingly difficult mathematical tasks, seeing themselves as capable math learners. This newfound self-confidence can lead to even greater success down their academic path.
6ns6a

×
Description:
This worksheet is designed to reinforce children's understanding of positive and negative numbers, specifically focusing on finding their opposites. Comprising of 20 math problems, the exercise can be easily customized to suit varying learner needs. Its flexible format ensures utility as flashcards or as a resource for distance learning. This tool aims to instill foundational math skills for kids in a fun, engaging way.

×
Student Goals:
Understanding of Mathematical OppositesAfter completing this worksheet, students should have a solid understanding of mathematical opposites, particularly in relation to positive and negative numbers. The repetitive nature of the problems reinforces the concept that the opposite of a number is the number that is equally distant from zero on the number line, but on the other side. Students would be expected to quickly and accurately determine the mathematical opposites of both positive and negative numbers.Increased Numerical AgilityThis worksheet aims to enhance students' numerical agility. By frequently working with both positive and negative numbers, students will become more comfortable with number manipulation and gain a craftier mathematical intuition. These Attributes will be not only beneficial across many areas of math, but can also translate into improved number-related problem-solving abilities in everyday life.Preparation for Advanced MathematicsThe ability to find the opposites of positive and negative numbers is a fundamental part of more advanced levels of mathematics. A solid comprehension in this area can help students in tackling more complex mathematical topics as they move forward. These might include algebra, calculus, and even more specialized fields such as engineering or physics. This worksheet hence acts as a stepping stone to grapple with such subjects in the future.Skill Evaluation and ReinforcementThis worksheet serves to evaluate and reinforce established mathematical skills. By practicing, students can identify any areas of difficulty and work to rectify them. The variety of problems in the worksheet provides a comprehensive practice session, thereby enabling students to become proficient in this key area of math. The more practice they get, the more confident and competent they'll feel about their math abilities.Promotion of Independent LearningThis worksheet promotes independent learning by providing students with a stand-alone resource that they can work through at their own pace. This promotes a sense of responsibility for their own learning process and can potentially foster a more intrinsic motivation to delve deeper into math and understand its principles more thoroughly. It can also alleviate any anxiety they may possess about math by allowing them to process information at their own pace.
6ns7c

×
Description:
"This worksheet is designed to enhance children's understanding of absolute value, a fundamental concept in math. The comprehensive lesson includes 10 varied problems that ask students to identify the value of 'A' and its distance from 0. Adaptable for personalized learning needs, it can be converted into flashcards or be integrated into distance learning curriculums, making math learning more dynamic and accessible for all students."

×
Student Goals:
Comprehend the Concept of Absolute ValueUpon completion of the worksheet, students should have a clear understanding of the concept of absolute value. This includes recognizing how absolute value affects both positive and negative numbers, and how it can be used to measure distance between numbers on a number line. It forms a basic yet crucial part of mastering further mathematical operations and functions.Apply Absolute Value in Practical Problem SolvingStudents will learn to apply the concept of absolute value to solve given mathematical problems. By identifying the value of variable 'A' and measuring its distance from 0, students can find its absolute value. This reinforces the theme of absolute value as the distance a number is from zero, and helps students build hands-on problem-solving skills that will be beneficial in real-world applications.Improve Critical Reasoning SkillsThis worksheet enhances students' critical reasoning skills by encouraging them to apply the concrete concept of absolute value to abstract situations involving variables. Instead of depending on rote memorization, they sharpen their ability to logically reason, deduce, and validate their answers. This critical thinking capability is invaluable and can be applied to complex mathematical problems, as well as situations they may encounter in other academic subjects or in daily life.Confidence with NumbersWorking on this worksheet will boost students' confidence in dealing with numbers, especially negative ones. By understanding and applying the concept of absolute value, they eliminate the intimidation often associated with negative quantities. This increases their overall mathematical competence and equips them for success in more advanced studies.Preparation for Advanced Math TopicsFinally, this worksheet serves as an excellent preparatory tool for more advanced mathematical topics such as algebra, calculus, and number theory, where the concept of absolute value plays an integral part in understanding functions, equations, and their solutions. The mastery of the concept of absolute value at this initial stage sets a solid foundation for future mathematical explorations and discoveries.
6ns7c

×
Description:
"This worksheet is designed to familiarize children with the concept of absolute value in mathematics. It features 20 problems ranging from comparing integers to understanding the magnitude of numbers. Ideal for distance learning, this customizable worksheet can be converted into flashcards, making math learning interactive, engaging, and easy to understand."

×
Student Goals:
Understanding of Absolute ValuesUpon completing this worksheet, students will have gained a firm understanding of absolute values. Absolute value is essentially the numerical value of a real number regardless of its sign. This concept is fundamental in mathematics, so mastering it will enable learners to progress in their studies with greater ease. They will be able to distinguish the value of numbers, beyond just negative or positive, but also their magnitude in a mathematically accurate manner.Competency in Mathematical Problem-SolvingTackling the problems in this worksheet empowers students to become more adept in solving mathematical problems. By successfully completing the tasks, they exhibit their skills in quantitative analysis and logical deductions. This improves their overall critical thinking and problem-solving skills, arming them with abilities that are not only useful for further mathematical learning but also beneficial in day-to-day life scenarios.Capability to Perform Mathematical ComparisonsStudents will gain the capacity to execute comparisons more effectively by understanding the absolute values’ implications. This proficiency is key in various aspects of math, learning as it stands as the foundation of several operations and concepts. Students will learn to compare not only regular numbers but also absolute values, broadening their mathematical agility.Growth in Mathematical ConfidenceAs the learners progressively get answers right, their confidence in mathematics will grow. This improvement in self-assurance will spark their interest in the subject, cultivating a positive learning attitude. The better they get at it, the more they'll enjoy it, creating a beneficial cycle of learning. This increase in mathematics self-confidence may motivate them to take up more challenging problems and tasks in the future.Enhancement of Sequential ReasoningSolving these problems will result in an enhancement in the students’ sequential reasoning abilities. Being able to predict and reason out the next sequence is an essential facet of mathematics, science, and even day to day problem-solving tasks. By understanding absolute values, and how numbers relate to each other, they can foster this essential skill.Acquisition of Essential Knowledge for Advanced MathThis worksheet lays a foundation for more advanced mathematical concepts that they will encounter in higher grade levels. Understanding absolute values is vital for studying algebra, calculus, and even some aspects of geometry. Therefore, the successful completion of the worksheet is one more step in their overall academic progress in math.

×
Description:
"This worksheet is designed to help children master the concept of ordering positive and negative integers. Offering ten practice problems, it guides students towards understanding the arrangement of values from least to greatest, and vice versa. The worksheet is versatile, allowing customization and conversion into flashcards, facilitating both in-person and distance learning. A robust tool for strengthening math skills."

×
Student Goals:
7ns1c

×
Description:
"This worksheet is designed to enhance children's understanding of math, specifically negative numbers and finding equivalent expressions. It contains 8 examples of problems centered around this concept, each one designed to challenge and improve critical thinking. The worksheet is versatile, allowing for customization, and can be converted into flash cards for additional study methods. Also ideal for distance learning, this resource is a valuable tool for math learners."

×
Student Goals:
Understanding Negative Numbers and Their OperationsUpon successfully completing the worksheet, students should be able to proficiently demonstrate a solid understanding of negative numbers, and how they interact with other numbers during mathematical operations. This includes grasping the concept of the number line, where negative numbers sit, and how they move on this line during addition or subtraction.Mastering the Concept of Equivalent ExpressionsThe worksheet aids students to grasp the concept of equivalent expressions, an important component of algebra. Through solving the problems, students will learn that different expressions can yield the same results, thus gaining a good foundation for algebraic manipulation.Application of the Commutative and Associative PropertiesThis worksheet is also designed to help students practically apply the commutative and associative properties of numbers. They would be able to understand that the order or grouping of numbers in addition and multiplication does not affect the result.Enhancing Problem-Solving and Logical Thinking SkillsAs the problems in the worksheet require students to analyze and compare different expressions, they will bolster their problem-solving and critical thinking skills. Learning to accurately choose equivalent expressions fosters logical and abstract thinking, which are pivotal elements in higher-level math and science studies.Familiarizing with Mathematical Symbols and ExpressionsCompleting the worksheet assists the students in becoming more familiar with mathematical symbols and expressions, as well as understanding the role of parentheses in changing the meaning of an expression.Building Confidence in Handling Complex Mathematical OperationsBy learning how to work with negative numbers and equivalent expressions, students will develop their confidence in handling more complex mathematical operations. This subsequently prepares them for more advanced math topics that are reliant on a good grounding in arithmetic involving negative numbers.
Adding & Subtracting
Link
7ns1a

×
Description:
"This worksheet is designed to enhance children's mathematical skills, concentrating on adding and subtracting negative numbers. The arithmetic problems challenge the child's understanding of handling negative values. It includes ten versatile math problems that can be customized according to one's teaching needs, conveniently converted into flash cards for dynamic learning, or incorporated in distance learning modules."

×
Student Goals:
7ns1a

×
Description:
"This worksheet is designed to enhance children's skills in adding and subtracting negative numbers. It features 20 problems aiming to boost arithmetic proficiency with real-life examples. Its adaptability allows for customization, making it a useful tool for distance learning. It can further be converted into flash cards, reinforcing the interactive learning experience and reinforcing the grasp of the complex concept of negative number calculations."

×
Student Goals:
Understand Concept of Negative NumbersAfter completion of this worksheet, students must have a firm grasp of the concept of negative numbers. They will understand that a negative number is less than zero and lies to the left on the number line. The idea of how mathematical operations like addition and subtraction function when negative numbers come into play should be clear to them.Perform Addition and Subtraction with Negative NumbersPost completion of these exercises, learners should have an ability to swiftly perform addition and subtraction involving negative numbers. They will learn how to add and subtract negative numbers in different scenarios, and with repeated practice through these exercises, can sharpen their calculations, thereby boosting their confidence in tackling similar problems.Comprehend Absolute ValuesBy the end of this worksheet, students should be able to comprehend the absolute values of numbers. They will realize that absolute values refer to the distance of the number from zero irrespective of the direction, and that the absolute value of a number is always positive or zero. This will be a stepping stone to a deeper understanding of the number system.Enhance Problem Solving SkillsThese exercises will also contribute significantly to refining the problem-solving skills of the students. The ability to recognize the negation of a number and dealing with the constraints of the number line can greatly expand their mathematical analytical skills. These skills are vital not only in Arithmetic, but also in a broader spectrum of subjects involving calculations.Boost Mental Math SkillsThe worksheet has the potential to strengthen students' mental math skills. Completing these problems will enhance their fluency with numbers and improve their capability of mental calculations, which will be extremely useful in their academic journey and real life situations. From calculating change to measuring distances in the real world, these skills will come in handy.Develop Mathematical CommunicationThe application of this worksheet will promote mathematical communication. The expression of mathematical thoughts and ideas is a fundamental part of learning. Through this exercise of adding and subtracting negative numbers, students will have a vocabulary for better communication of these ideas. They can share problem-solving strategies, reason out calculations, and articulate their understanding.
7ns1a

×
Description:
"This worksheet is designed to challenge and improve a child's skills in addition and subtraction with a focus on achieving a result of zero. The 20 diverse math problems can be customized to fit individual learning needs, converted into flashcards for interactive practice, or utilized for distance learning, making this worksheet adaptable to various teaching methods."

×
Student Goals:
Improved Mathematical SkillsUpon completion of the worksheet, students should have improved their basic mathematical skills. They'll be better equipped to perform addition and subtraction operations, particularly involving zero. With consistent practice, they should be able to solve these type of problems more quickly and accurately, boosting their overall math proficiency.Stronger Understanding of Additive InverseThe worksheet presents scenarios where the sum or difference of two numbers results to zero. After working through these problems, students should have a stronger grasp of the concept of additive inverse - the idea that a number and its negative counterpart add up to zero. This understanding is crucial in both basic and advanced mathematical calculations.Enhanced Logical ThinkingMathematics is not just about computation, it's also about logical thinking. Solving these worksheets will help students to develop logical reasoning skills. For each problem, students must discern what number, when added or subtracted, will result to zero. This will require careful thought and rational problem-solving, thereby strengthening students' logical thinking.Broader Mathematical VocabularyThis worksheet introduces symbols and nomenclature like B+(-71)= 0, -30-C= 0, etc. By coming across and understanding these representations, students should expand their mathematical vocabulary. This understanding of mathematical language and representation is vital in progressing through more complex mathematics lessons in the future.Comfort with Negative NumbersNegative numbers can often be tricky for young learners. This exercise, by incorporating negative numbers in various addition and subtraction problems to zero, will increase students' comfort and confidence in working with negatives. This familiarity is essential in understanding the number line, working with equations, and solving real-world problems.Development of Independent LearningWork through the problems in the worksheet facilitates independent learning. Students will gain confidence as they are able to complete the worksheet on their own, equipping them with a sense of responsibility and the understanding of self-paced learning. This is beneficial for their general academic growth and instills a proactive approach to acquiring knowledge.
7ns1d

×
Description:
"This worksheet is designed to enhance children's math skills, specifically in adding and subtracting rational numbers. Containing 20 varied problems, the concepts practiced will strengthen number manipulation capabilities. This highly adaptable resource can be customized to fit the learner's needs, transformed into flash cards for tactile learning, or utilized in a distance learning environment for continued academic growth."

×
Student Goals:
Understanding Rational NumbersAfter completing this worksheet, students should have a deeper understanding of rational numbers. They will be able to confidently identify rational numbers and understand their properties. This knowledge serves as a fundamental building block for more advanced mathematical studies. It helps students to comprehend the logic behind the operations of rational numbers which are crucial in the study of mathematics and its applications in daily life.Proficiency in Addition and SubtractionThe worksheet is designed to enhance students' proficiency in adding and subtracting rational numbers. Through practicing these problems repeatedly, they should achieve fluency in executing these basic mathematical operations. This proficiency is essential as these operations form the base of many mathematical concepts that are learnt in school.Critical Thinking and Problem SolvingBy tackling challenging problems in the worksheet, students can develop critical thinking skills and strengthen their problem-solving abilities. They will learn to approach problems analytically, strategize solutions, and solve them with precision. Such skills are highly transferable and are key to success in many various areas beyond math.Improvement in Numerical Accuracy and SpeedUpon completion of the worksheet, students are expected to show improvement in their numerical accuracy and speed. By systematically solving these problems, they can reduce errors in calculations, increase their speed, and become more efficient in managing time during tests or exams.Building Confidence and Self-efficacyFinally, a significant accomplishment that the students should be able to achieve after completing the worksheet is a boost in self-confidence and self-efficacy. As they overcome the challenges posed by the problems in the worksheet, they strengthen their belief in their ability to solve similar problems. This sense of attainment is crucial for their overall confidence in tackling mathematical problems, encouraging them to strive for higher goals.
7ns1b

×
Description:
"This worksheet is designed to enhance children's math skills, focusing on the concept of number lines and calculating distance. It includes 12 numerical problems that ask learners to start at a specific point and add or subtract a number. Perfect for distance learning, the customizable worksheet can be converted into flashcards for more interactive and engaging learning."

×
Student Goals:
Understanding Number LinesUpon completion of this worksheet, students should have a robust understanding of number lines and how to use them to show distance. They should be able to plot positive and negative numbers on a number line accurately. Grasping the concept of number lines is fundamental in mathematical knowledge, as it forms the groundwork for understanding more complex topics in calculus and other higher-level mathematics courses.Understanding Negative NumbersThe students will gain a good understanding of negative numbers. Negative numbers are part of everyday life, and understanding how to add and subtract them is paramount. Students should be able to differentiate and understand that negative numbers are less than zero and are represented on the left side of the number line. By repeatedly working with number-line problems involving negative numbers, students can confidently master this concept.Enhanced Problem Solving SkillsCompleting this worksheet will enhance the problem-solving skills of the students. Mathematical problem-solving forms part of critical thinking. The ability to start at a number and add or subtract another number hones their skills in logical thinking, decision making, and strategic planning making them more effective problem solvers.Improved Mental Arithmetic SkillsStudents will improve their mental arithmetic skills through the completion of this worksheet. The ability to quickly and correctly add and subtract numbers mentally is a skill that improves with practice and will be useful in many aspects of life beyond math class. By chaining together multiple problem sets, students will improve their ability to perform mental sums more accurately.Fluency with Addition and Subtraction on a Number LineStudents will become fluent in utilizing a number line for addition and subtraction. The ability to accurately and quickly perform these operations is a fundamental arithmetic skill, and this worksheet provides the necessary repetitive practice to help students become fluent in these skills. The exercises in this worksheet, if completed successfully, should help students to internalize the process and gain speed when performing these operations in the future.
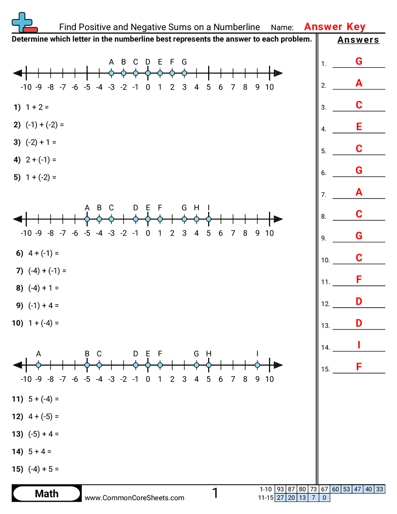
7ns1b

×
Description:
"This worksheet is designed to enhance children's understanding of adding positive and negative numbers. It consists of 15 various math problems that prompt children to find the sum on a number line. The concept of positive and negative sums is simplistically encapsulated to ensure effective distance learning. Moreover, the flexibility of format allows for customization and conversion into flash cards for a versatile learning experience."

×
Student Goals:
Understanding Positive and Negative NumbersUpon completing this worksheet, students will be able to clearly distinguish between positive and negative numbers and understand their application in different contexts. This understanding is foundational in mathematics for working with equations, functions, and real-life scenarios, thus building numerical proficiency.Basic Arithmetic CompetenceThe worksheet fosters the development of basic arithmetic competence as it focuses on using addition operations with both positive and negative numbers. Students will learn to compute mathematical problems quickly and accurately, an essential skill in progressing to more complex arithmetic tasks.Conceptual Understanding of AdditionBy exploring the addition of positive and negative numbers, students will reinforce their understanding of addition as a mathematical operation. Specifically, they will be able to understand how adding a positive number 'moves' to the right along the number line, while adding a negative number 'moves' to the left.Improve Problem Solving SkillsThe worksheet exercises aim to improve students' problem-solving skills. In the process of figuring out the sums, students will be engaged in logical thinking and reasoning, essential skills not only in math but in other subjects and everyday life situations.Understanding Number LinesStudents will reinforce their understanding of the number line, a fundamental tool in mathematics. They will learn about its representation and significance through the process of solving the worksheet problems, mastering its use for the addition of both positive and negative numbers.Boost Confidence and Interest in MathCompleting this worksheet and grappling with the problems presented can boost students' confidence in their mathematical abilities. Due to the relative complexity of working with positive and negative sums, successfully solving these problems can stimulate further interest and curiosity in the subject matter.
Multiplying & Dividing
Link
7ns2a

×
Description:
"This worksheet is designed to enhance children's understanding of multiplying and dividing negative numbers. It includes 20 engaging math problems that illustrate the concept beautifully. This versatile resource can be customized to suit individual learning needs, converted into flash cards for interactive sessions, or utilized efficiently for distance learning. Perfect to nurture a mastery in math."

×
Student Goals:
Understanding Negative Number OperationsUpon completion of the worksheet, students should have a firm understanding of the rules for multiplying and dividing negative numbers. They should be able to identify whether the result of an operation would be a positive or negative number based on the signs of the numbers involved. This comprehension lays an important mathematical foundation for more advanced algebraic concepts.Enhanced Problem-Solving SkillsBy answering these problems, students will enhance their problem-solving skills, especially for mathematical problems that require critical thinking. The operation of negative numbers involves knowing more than just basic arithmetic, and by solving these problems, students are actively improving their ability to find solutions and make decisions.Increased Accuracy and SpeedSolving these math problems will help students increase their computational speed and accuracy. By practicing regularly, students will become quicker and more efficient at processing multiplication and division problems involving negative numbers, improving their overall mathematical fluency.Greater Confidence in MathematicsA successfully completed worksheet provides a boost to students’ self-confidence. Students will realize that they are capable of understanding and applying complicated mathematical concepts like multiplying and dividing negative numbers, ultimately making them more confident in their abilities to tackle complex math problems in the future.Preparation for Advanced MathCompleting the worksheet, students can prepare themselves for more advanced math topics they will encounter in the future. Multiplication and division of negative numbers are fundamental skills that will underpin much of the algebra and calculus they’ll learn in higher grades.
7ns2b

×
Description:
"This worksheet is designed to teach children the concept of dividing negative fractions. It consists of 20 problems, challenging kids to fill in missing numbers and solve equations. Customizable to individual learning needs, the worksheet can also be converted into flashcards for interactive learning. Its digital format makes it ideal for both in-person and distance learning environments, fostering a deep understanding of the subject matter in an engaging way."

×
Student Goals:
Understanding Negative FractionsAfter successfully completing the Dividing Negative Fractions worksheet, children should have a mastered understanding of the concept of negative fractions and the operation of dividing them. This concept can be quite challenging for children as it involves both fractional arithmetic and the rules for manipulating positive and negative signs, but effective completion of this worksheet signifies a strong foundational comprehension.Problem-Solving SkillsThe workout offers 20 distinctive problems on the division of negative fractions that test and improve a student's problem-solving abilities. Correctly handling these tasks denotes that a child can easily identify, break down, and solve problems related to this topic. It also means that the child has improved his mathematical logic and reasoning skills, which are critical for success in future mathematical endeavours.Application of Math RulesThis worksheet provides an opportunity for learners to apply various mathematical rules and theorems, most importantly the rule of signs in mathematics. This practice demonstrates that the child can accurately apply the correct rule at the correct time in order to solve complex mathematical equations.Accuracy and PrecisionWorking through these fractional problems will test and develop a child's accuracy and precision in calculations involving negative numbers. Mastery of this skill is critical as it allows the child to make precise predictions and minimize errors in operational calculations, ensuring accurate mathematical computations.Boosted Confidence in MathSuccessfully completing all twenty problems will boost the child's confidence in their math abilities and develops a positive attitude towards mathematical concepts, equations, and calculations involving negative fractions and divisions. It teaches them to be patient and persistent in overcoming challenges associated with tough mathematical concepts, ultimately making learning math a more enjoyable experience.Preparation for Advanced Math ConceptsUnderstanding of dividing negative fractions is essential as it forms the basis for many more advanced topics in mathematics, including algebraic equations and calculus. By tackling these problems, students establish strong foundational knowledge, preparing them for further study in mathematics. Their developed skills and understanding of dividing negative fractions could be of great use in tackling more complex equations in advanced mathematics.
7ns2b

×
Description:
"This worksheet is designed to enhance kids' understanding of multiplication and division. It presents 20 math problems that explore negative and positive integers, helping students identify and fill missing values. Ideal for distance learning, this customizable worksheet can easily be transformed into interactive flashcards for an engaging learning experience. It's the perfect tool for mastering these crucial mathematical operations."

×
Student Goals:
Understanding of Multiplication and Division ConceptsUpon completing the worksheet, students should have a sturdy foundation in both multiplication and division principles. They should be able to accurately predict and calculate the outcome when given numbers are multiplied or divided. They must be adept in arranging the multiplication and division equations correctly.Comprehension of Negative NumbersThis worksheet would assist students in deepening their comprehension of negative numbers, particularly how they function within multiplication and division. Students should become adept at identifying when the result of a multiplication or division operation with negative numbers will result in a negative or positive output.Problem Solving SkillsStudents should improve their problem-solving abilities through regular practice of multiplication and division problems. By filling in the missing value, they should become better at spotting patterns, making accurate predictions and formulating the right strategy to solve the problem, thus helping them improve their analytical skills.Accuracy and SpeedStudents should also significantly enhance their calculation accuracy and speed. By completing 20 questions per worksheet, they should become quicker and more precise, leading to improved performance in timed tests and exams. This practice will help students become more comfortable and confident during mathematical tests or exams.Improving Mathematical VocabularyAfter completing the worksheet, students should have a better understanding of mathematical vocabulary. They should be able to use mathematical terms accurately in the correct context. They should understand what division and multiplication mean, and be able to identify them within a problem-solving context.Development of PersistenceContinuous practice of such problems can help students develop persistence. They will learn to stick with a problem until it has been solved, improving their perseverance skills. This can also boost their confidence in tackling complex math problems in the future.
6ns7c

×
Description:
"This worksheet is designed to strengthen children's understanding of absolute value in math. Featuring 20 problems, the worksheet presents absolute value equations such as |-51| and |-96|, challenging students to solve them. It's a versatile resource that can be customized, converted into flashcards, or utilized for distance learning, perfectly catering to diversified learning needs while reinforcing critical mathematical concepts."

×
Student Goals:
Comprehension of Absolute ValueAfter thoroughly completing this worksheet, students should be able to fully understand the concept of absolute value. They will be able to identify that absolute value refers to the non-negative value of a real number without considering its sign. This understanding allows them to simplify problems and operations involving absolute values correctly.Ability to Solve Absolute Value ProblemsBeyond a theoretic understanding, students will develop a practical ability to solve absolute value problems. They will be able to apply the concept of absolute value in various mathematical operations and solve mathematical questions involving the same. This practical ability signifies their mastery of the concept.Develop Critical Thinking SkillsMathematics problems involving absolute values are great for engaging students’ critical thinking abilities. By completing the absolute value problems in the worksheet, students will enhance their problem-solving skills. They will learn to understand the problem, plan a solution process, and follow through with the solution effectively and accurately.Improve Mathematical CommunicationMathematics is a language by itself. Successfully completing this worksheet indicates that students are becoming fluent in this language, specifically in communicating and interpreting absolute values. Students will be able to articulate their understanding and effectively communicate their methodology, reasoning, and results in numerical, symbolic, graphic, and verbal form.Enhance Precision and Attention to DetailMathematics requires precision and attention to detail. When working with absolute values, students must carefully consider the positive or negative signs involved in the problem. By successfully completing this worksheet, students demonstrate their ability to work with precision and meticulous attention to detail, strengthening this essential skill for further mathematical studies.Ready for More Complex Mathematical ConceptsAbsolute value is a foundational concept in mathematics. It is a stepping stone to learning more complex mathematical concepts and operations. By mastering absolute value through this worksheet, students prepare themselves to tackle more sophisticated mathematical tasks with confidence, fortifying their overall mathematics foundation.